Системы логических уравнений со слабо связанными рядами
Пройти тестирование по этим заданиям
Вернуться к каталогу заданий
Версия для печати и копирования в MS Word
Сколько существует различных наборов значений логических переменных x1, x2, x3, x4, x5, y1, y2, y3, y4, y5, которые удовлетворяют всем перечисленным ниже условиям?
(x1 → x2) ∧ (x2 → x3) ∧ (x3 → x4) ∧ (x4 → x5 ) = 1
(y1 → y2) ∧ (y2 → y3) ∧ (y3 → y4) ∧ (y4 → y5 ) = 1
x1 ∨ y1 = 1
В ответе не нужно перечислять все различные наборы значений переменных x1, x2, x3, x4, x5, y1, y2, y3, y4, y5, при которых выполнена данная система равенств. В качестве ответа Вам нужно указать количество таких наборов.
Сколько существует различных наборов значений логических переменных x1, x2, x3, x4, y1, y2 y3, y4, которые удовлетворяют всем перечисленным ниже условиям?
(x1 → x2) ∧ (x2 → x3) ∧ (x3 → x4) = 1
(¬y1 ∨ y2) ∧ (¬y2 ∨ y3) ∧ (¬y3 ∨ y4) = 1
(y1 → x1) ∧ (y2 → x2) ∧ (y3 → x3) ∧ (y4 → x4) = 1
В ответе не нужно перечислять все различные наборы значений переменных x1, x2, x3, x4, y1, y2 y3, y4, при которых выполнена данная система равенств. В качестве ответа Вам нужно указать количество таких наборов.
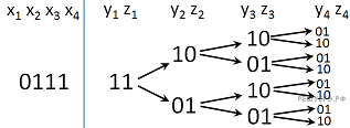
Сколько существует различных наборов значений логических переменных x1, x2, x3, x4, y1, y2, y3, y4, z1, z2, z3, z4, которые удовлетворяют всем перечисленным ниже условиям?
(x1→x2) ∧ (x2→x3) ∧ (x3→x4) = 1
(¬x1 ∧ y1 ∧ z1) ∨ (x1 ∧ ¬y1 ∧ z1) ∨ (x1 ∧ y1 ∧ ¬z1) = 1
(¬x2 ∧ y2 ∧ z2) ∨ (x2 ∧ ¬y2 ∧ z2) ∨ (x2 ∧ y2 ∧ ¬z2) = 1
(¬x3 ∧ y3 ∧ z3) ∨ (x3 ∧ ¬y3 ∧ z3) ∨ (x3 ∧ y3 ∧ ¬z3) = 1
(¬x4 ∧ y4 ∧ z4) ∨ (x4 ∧ ¬y4 ∧ z4) ∨ (x4 ∧ y4 ∧ ¬z4) = 1
В ответе не нужно перечислять все различные наборы значений переменных
x1, x2, x3, x4, y1, y2, y3, y4, z1, z2, z3, z4, при которых выполнена данная система равенств. В качестве ответа Вам нужно указать количество таких наборов.
Сколько существует различных наборов значений логических переменных x1, x2, x3, x4, x5, y1, y2, y3, y4, y5, которые удовлетворяют всем перечисленным ниже условиям?
(x1→x2) ∧ (x2→x3) ∧ (x3→x4) ∧ (x4→x5) = 1
(x1→y1) ∧ (x2→y2) ∧ (x3→y3) ∧ (x4→y4) ∧ (x5→y5) = 1
В ответе не нужно перечислять все различные наборы значений переменных x1, x2, x3, x4, x5, y1, y2, y3, y4, y5, при которых выполнена данная система равенств. В качестве ответа Вам нужно указать количество таких наборов.
Сколько существует различных наборов значений логических переменных x1, x2, x3, x4, x5, x6, y1, y2, y3, y4, y5, y6, которые удовлетворяют всем перечисленным ниже условиям
(x1→x2) ∧ (x2→x3) ∧ (x3→x4) ∧ (x4→x5) ∧ (x5→x6) = 1
(y2→y1) ∧ (y3→y2) ∧ (y4→y3) ∧ (y5→y4) ∧ (y6→y5) = 1
x6→y6 = 1
В ответе не нужно перечислять все различные наборы значений переменных x1, x2, x3, x4, x5, x6, y1, y2, y3, y4, y5, y6, при которых выполнена данная система равенств. В качестве ответа Вам нужно указать количество таких наборов.
Пройти тестирование по этим заданиям

