Каталог заданий.
Условие выполнения цикла while. Часть 2
Версия для печати и копирования в MS Word
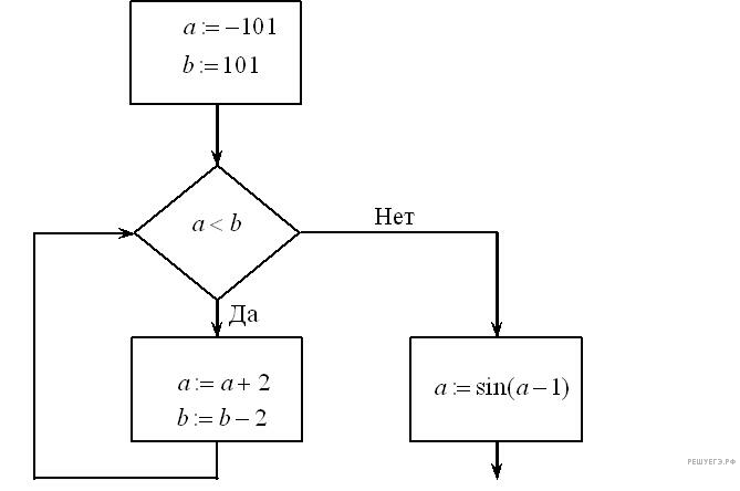
1
Тип Д6 № 2001
i

За­пи­ши­те зна­че­ние пе­ре­мен­ной а после вы­пол­не­ния фраг­мен­та ал­го­рит­ма:

 

*При­ме­ча­ние: зна­ком := обо­зна­че­на опе­ра­ция при­сва­и­ва­ния. В бланк от­ве­тов впи­ши­те толь­ко число.


Ответ:

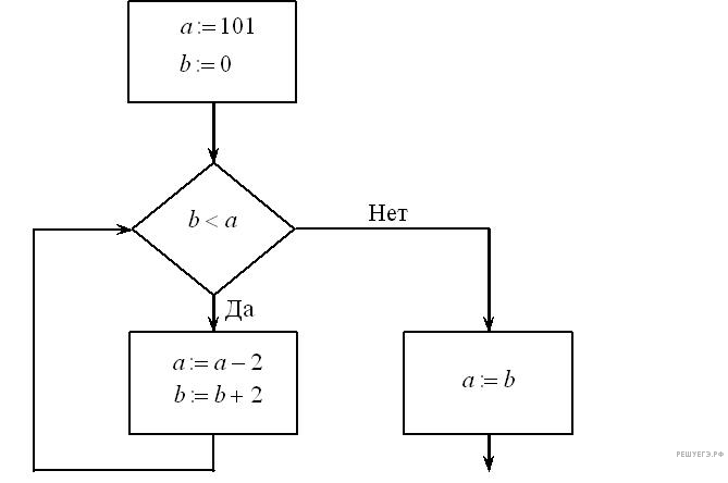
2
Тип Д6 № 2002
i

За­пи­ши­те зна­че­ние пе­ре­мен­ной а после вы­пол­не­ния фраг­мен­та ал­го­рит­ма:

 

*При­ме­ча­ние: зна­ком := обо­зна­че­на опе­ра­ция при­сва­и­ва­ния. В бланк от­ве­тов впи­ши­те толь­ко число.


Ответ:

3
Тип Д6 № 2006
i

За­пи­ши­те зна­че­ние пе­ре­мен­ной а после вы­пол­не­ния фраг­мен­та ал­го­рит­ма:

 

*При­ме­ча­ние: зна­ком := обо­зна­че­на опе­ра­ция при­сва­и­ва­ния. В бланк от­ве­тов впи­ши­те толь­ко число.


Ответ:

4
Тип Д6 № 2007
i

За­пи­ши­те зна­че­ние пе­ре­мен­ной а после вы­пол­не­ния фраг­мен­та ал­го­рит­ма:

 

*При­ме­ча­ние: зна­ком := обо­зна­че­на опе­ра­ция при­сва­и­ва­ния. В бланк от­ве­тов впи­ши­те толь­ко число.


Ответ:

5
Тип Д6 № 2008
i

За­пи­ши­те зна­че­ние пе­ре­мен­ной b после вы­пол­не­ния фраг­мен­та ал­го­рит­ма:

 

*При­ме­ча­ние: зна­ком := обо­зна­че­на опе­ра­ция при­сва­и­ва­ния. В бланк от­ве­тов впи­ши­те толь­ко число.


Ответ:

6
Тип Д6 № 2010
i

За­пи­ши­те зна­че­ние пе­ре­мен­ной а после вы­пол­не­ния фраг­мен­та ал­го­рит­ма:

 

*При­ме­ча­ние: зна­ком := обо­зна­че­на опе­ра­ция при­сва­и­ва­ния. В бланк от­ве­тов впи­ши­те толь­ко число.


Ответ:

7
Тип Д6 № 3243
i

Опре­де­ли­те, что будет на­пе­ча­та­но в ре­зуль­та­те ра­бо­ты сле­ду­ю­ще­го фраг­мен­та про­грам­мы:

 

 

Бей­сикPython

DIM K, S AS INTEGER

S = 0

K = 0

WHILE S < 80

    S = S + 2*K

    K = K + 4

WEND

PRINT S

s = 0

k = 0

while s < 80:

    s += 2*k

    k += 4

print(s)

Пас­кальАл­го­рит­ми­че­ский язык

var k, s: integer;

begin

     s:=0;

     k:=0;

    while s < 80 do begin

        s:=s+2*k;

        k:=k+4;

     end;

    write(s);

end.

алг

нач

    цел k, s

    s := 0

    k := 0

    нц пока s < 80

        s := s + 2*k

        k := k + 4

    кц

    вывод s

кон

Си++

#include <iostream>

using namespace std;

int main() {

    int s, k;

    s = 0, k = 0;

    while (s < 80) {

        s = s + 2*k;

        k = k + 4;

    }

    cout << s << endl;

    return 0;

}


Ответ:

8
Тип Д6 № 7458
i

За­пи­ши­те число, ко­то­рое будет на­пе­ча­та­но в ре­зуль­та­те вы­пол­не­ния про­грам­мы. Для Ва­ше­го удоб­ства про­грам­ма пред­став­ле­на на пяти язы­ках про­грам­ми­ро­ва­ния.

 

Бей­сикPython

DIM S, N AS INTEGER

S = 33

N = 1

WHILE S > 0

S = S – 7

N = N * 3

WEND

PRINT(N)

s = 33

n = 1

while s > 0:

    s = s - 7

    n = n * 3

print(n)

Пас­кальАл­го­рит­ми­че­ский язык

var s, n: integer;

begin

s := 33;

n := 1;

while s > 0 do

begin

s := s – 7;

n := n * 3

end;

writeln(n)

end.

нач

цел s, n

s := 33

n := 1

нц пока s > 0

s := s – 7

n := n * 3

кц

вывод n

кон

Си++

#include <iostream>

using namespace std;

int main(void)

{ int s, n;

s = 33;

n = 1;

while (s > 0) {

s = s – 7;

n = n * 3;

}

cout << n << endl;

}


Ответ:

9
Тип Д6 № 7665
i

Опре­де­ли­те, что будет на­пе­ча­та­но в ре­зуль­та­те вы­пол­не­ния про­грам­мы, за­пи­сан­ной ниже на раз­ных язы­ках про­грам­ми­ро­ва­ния.

Бей­сикPython

DIM N, S AS INTEGER

N = 1

S = 0

WHILE N <= 100

S = S + 30

N = N * 2

WEND

PRINT S

n = 1

s = 0

while n <= 100:

    s = s + 30

    n = n * 2

print(s)

Пас­кальАл­го­рит­ми­че­ский язык

var n, s: integer;

begin

    n := 1;

    s := 0;

    while n <= 100 do

    begin

        s := s + 30;

        n := n * 2

    end;

    write(s)

end.

алг

нач

цел n, s

n := 1

s := 0

нц пока n <= 100

    s := s + 30

    n := n * 2

кц

вывод s

кон

Си++

#include <iostream>

using namespace std;

int main()

{

    int n, s;

    n = 1;

    s = 0;

    while (n <= 100)

    {

        s = s + 30;

        n = n * 2;

    }

    cout « s « endl;

}


Ответ:

10
Тип Д6 № 9643
i

Опре­де­ли­те зна­че­ние пе­ре­мен­ной c после вы­пол­не­ния сле­ду­ю­ще­го фраг­мен­та про­грам­мы (за­пи­сан­но­го ниже на раз­ных язы­ках про­грам­ми­ро­ва­ния). Ответ за­пи­ши­те в виде це­ло­го числа.

 

Бей­сикПас­каль

a = 20

b = 15

b = 3 * b - a

IF a > b THEN

c = 2 * a + b

ELSE

c = 2 * a - b

END IF

a := 20;

b := 15;

b := 3 * b - a;

if a > b then

c := 2 * a + b

else

c := 2 * a - b;

Си++Ал­го­рит­ми­че­ский язык

a = 20;

b = 15;

b = 3 * b - a;

if (a > b)

c = 2 * a + b;

else

c = 2 * a - b;

a := 20

b := 15

b := 3 * b - a

если a > b

то c := 2 * a + b

иначе c := 2 * a - b

все

Python

a = 20

b = 15

b = 3 * b - a

if a > b:

    c = 2 * a + b

else:

    c = 2 * a - b


Ответ:

11
Тип Д6 № 9689
i

Опре­де­ли­те зна­че­ние пе­ре­мен­ной c после вы­пол­не­ния сле­ду­ю­ще­го фраг­мен­та про­грам­мы (за­пи­сан­но­го ниже на раз­ных язы­ках про­грам­ми­ро­ва­ния). Ответ за­пи­ши­те в виде це­ло­го числа.

 

Бей­сикПас­каль

a = 17

b = 20

a = 3 * a - b

IF a > b THEN

  c = 5 * a - b

ELSE

  c = 5 * a + b

END IF

a := 17;

b := 20;

a := 3 * a - b;

if a > b then

  c := 5 * a - b

else

  c := 5 * a + b;

Си++Ал­го­рит­ми­че­ский язык

a = 17;

b = 20;

a = 3 * a - b;

if (a > b)

  c = 5 * a - b;

else

  c = 5 * a + b;

a := 17

b := 20

a := 3 * a - b

если a > b

  то c := 5 * a - b

  иначе c := 5 * a + b

все

Python

a = 17

b = 20

a = 3 * a - b

if a > b:

    c = 5 * a - b

else:

    c = 5 * a + b


Ответ:

12
Тип Д6 № 3253
i

Опре­де­ли­те, что будет на­пе­ча­та­но в ре­зуль­та­те ра­бо­ты сле­ду­ю­ще­го фраг­мен­та про­грам­мы:

 

 

Бей­сикPython

DIM K, S AS INTEGER

S = 0

K = 0

WHILE K < 12

    S = S + 2*K

    K = K + 3

WEND

PRINT S

s = 0

k = 0

while k < 12:

    s += 2*k

    k += 3

print(s)

Пас­кальАл­го­рит­ми­че­ский язык

var k, s: integer;

begin

     s:=0;

     k:=0;

    while k < 12 do begin

        s:=s+2*k;

        k:=k+3;

     end;

    write(s);

end.

алг

нач

    цел k, s

    s := 0

    k := 0

    нц пока k < 12

        s := s + 2*k

        k := k + 3

    кц

    вывод s

кон

Си++

#include <iostream>

using namespace std;

int main() {

    int s, k;

    s = 0, k = 0;

    while (k < 12) {

        s = s + 2*k;

        k = k + 3;

    }

    cout << s << endl;

    return 0;

}


Ответ:

13
Тип Д6 № 3240
i

Опре­де­ли­те, что будет на­пе­ча­та­но в ре­зуль­та­те ра­бо­ты сле­ду­ю­ще­го фраг­мен­та про­грам­мы:

 

 

Бей­сикPython

DIM K, S AS INTEGER

S = 1

K = 0

WHILE K < 13

    S = S + 2 * K

    K = K + 4

WEND

PRINT K+S

s = 1

k = 0

while k < 13:

    s += 2*k

    k += 4

print(k+s)

Пас­кальАл­го­рит­ми­че­ский язык

var k, s: integer;

begin

     s:=1;

     k:=0;

    while k < 13 do begin

        s:=s+2*k;

         k:=k+4;

     end;

    write(s+k);

end.

алг

нач

    цел k, s

    s := 1

    k := 0

    нц пока k < 13

        s := s + 2 * k

        k := k + 4

    кц

    вывод s+k

кон

Си++

#include <iostream>

using namespace std;

int main() {

    int s, k;

    s = 1, k = 0;

    while (k < 13) {

        s = s + 2 * k;

        k = k + 4;

    }

    cout << s+k << endl;

    return 0;

}


Ответ:

14
Тип Д6 № 17372
i

За­пи­ши­те число, ко­то­рое будет на­пе­ча­та­но в ре­зуль­та­те вы­пол­не­ния сле­ду­ю­щей про­грам­мы. Для Ва­ше­го удоб­ства про­грам­ма пред­став­ле­на на пяти язы­ках про­грам­ми­ро­ва­ния.

 

 

Бей­сикPython

DIM S, N AS INTEGER

S = 100

N = 300

WHILE S + N <= 600

S = S + 40

N = N − 20

WEND

PRINT S

s = 100

n = 300

while s + n <= 600:

    s = s + 40

    n = n − 20

print(s)

Пас­кальАл­го­рит­ми­че­ский язык

var s, n: integer;

begin

    s := 100;

    n := 300;

    while s + n <= 600 do

    begin

        s := s + 40;

        n := n − 20;

    end;

    writeln(s)

end.

алг

нач

    цел s, n

    s := 100

    n := 300

    нц пока s + n <= 600

        s := s + 40

        n := n − 20

    кц

    вывод s

кон

Си++

#include <iostream>

using namespace std;

int main()

{

    int s = 100, n = 300;

    while (s + n <= 600) {

        s = s + 40;

        n = n − 20;

    }

    cout << s;

    return 0;

}

 


Ответ:

15
Тип Д6 № 18077
i

За­пи­ши­те число, ко­то­рое будет на­пе­ча­та­но в ре­зуль­та­те вы­пол­не­ния сле­ду­ю­щей про­грам­мы. Для Ва­ше­го удоб­ства про­грам­ма пред­став­ле­на на пяти язы­ках про­грам­ми­ро­ва­ния.

 

 

Бей­сикPython

DIM K, S AS INTEGER

S = 230

K = 0

WHILE S > 0

    S = S – 15

    K = K + 2

WEND

PRINT K

s = 230

k = 0

while s > 0:

    s = s − 15

    k = k + 2

print(k)

Пас­кальАл­го­рит­ми­че­ский язык

var k, s: integer;

begin

    s:=230;

    k:=0;

    while s > 0 do begin

        s := s – 15;

        k := k + 2;

    end;

    write(k);

end.

алг

нач

    цел s, k

    s := 230

    k := 0

    нц пока s > 0

        s := s − 15

        k := k + 2

    кц

    вывод k

кон

Си++

#include <iostream>

using namespace std;

 

int main() {

    int s , k;

    s = 230;

    k = 0;

    while(s > 0){

        s = s − 15;

        k = k + 2;

    }

    cout << k << endl;

}

 


Ответ:

16
Тип Д6 № 18436
i

За­пи­ши­те число, ко­то­рое будет на­пе­ча­та­но в ре­зуль­та­те вы­пол­не­ния сле­ду­ю­щей про­грам­мы. Для Ва­ше­го удоб­ства про­грам­ма пред­став­ле­на на пяти язы­ках про­грам­ми­ро­ва­ния.

 

 

Бей­сикPython

DIM N, S AS INTEGER

S = 230

N = 0

WHILE S > 0

    S = S – 15

    N = N + 2

WEND

PRINT N

s = 230

n = 0

while s > 0:

    s = s − 15

    n = n + 2

print(n)

Пас­кальАл­го­рит­ми­че­ский язык

var n, s: integer;

begin

    s:=230;

    n:=0;

    while s > 0 do begin

        s := s – 15;

        n := n + 2;

    end;

    write(n);

end.

алг

нач

    цел s, n

    s := 230

    n := 0

    нц пока s > 0

        s := s − 15

        n := n + 2

    кц

    вывод n

кон

Си++

#include <iostream>

using namespace std;

 

int main() {

    int s = 230, n = 0;

    while(s > 0) { s = s - 15; n = n + 2; }

    cout << n << endl;

    return 0;

}

 


Ответ:

17
Тип Д6 № 18489
i

За­пи­ши­те число, ко­то­рое будет на­пе­ча­та­но в ре­зуль­та­те вы­пол­не­ния сле­ду­ю­щей про­грам­мы. Для Ва­ше­го удоб­ства про­грам­ма пред­став­ле­на на пяти язы­ках про­грам­ми­ро­ва­ния.

 

 

Бей­сикPython

DIM S, N AS INTEGER

S = 300

N = 100

WHILE S - N >= 100

    S = S + 20

    N = N + 30

WEND

PRINT S

s = 300

n = 100

while s - n >= 100:

    s = s + 20

    n = n + 30

print(s)

Пас­кальАл­го­рит­ми­че­ский язык

var s, n: integer;

begin

    s := 300;

    n := 100;

    while s - n >= 100 do

    begin

        s := s + 20;

        n := n + 30

    end;

writeln(s)

end.

алг

нач

    цел s, n

    s := 300

    n := 100

    нц пока s - n >= 100

        s := s + 20

        n := n + 30

    кц

    вывод s

кон

Си++

#include <iostream>

using namespace std;

int main()

{

    int s = 300, n = 100;

    while (s - n >= 100) {

        s = s + 20;

        n = n + 30;

    }

    cout << s;

    return 0;

}

 


Ответ:

18
Тип Д6 № 18556
i

За­пи­ши­те число, ко­то­рое будет на­пе­ча­та­но в ре­зуль­та­те вы­пол­не­ния сле­ду­ю­щей про­грам­мы. Для Ва­ше­го удоб­ства про­грам­ма пред­став­ле­на на пяти язы­ках про­грам­ми­ро­ва­ния.

 

 

Бей­сикPython

DIM S, N AS INTEGER

S = 500

N = 200

WHILE S \ N >= 2

    S = S + 5

    N = N + 5

WEND

PRINT S

s = 500

n = 200

while s // n >= 2:

    s = s + 5

    n = n + 5

print(s)

Пас­кальАл­го­рит­ми­че­ский язык

var s, n: integer;

begin

    s := 500;

    n := 200;

    while s div n >= 2 do begin

        s := s + 5;

        n := n + 5

    end;

    writeln(s)

end.

алг

нач

    цел s, n

    s := 500

    n := 200

    нц пока div(s,n) >= 2

        s := s + 5

        n := n + 5

    кц

    вывод s

кон

Си++

#include <iostream>

using namespace std;

int main()

{

    int s = 500, n = 200;

    while (s / n >= 2) {

        s = s + 5;

        n = n + 5;

    }

    cout << s;

    return 0;

}

 


Ответ:

19
Тип Д6 № 18584
i

За­пи­ши­те число, ко­то­рое будет на­пе­ча­та­но в ре­зуль­та­те вы­пол­не­ния сле­ду­ю­щей про­грам­мы. Для Ва­ше­го удоб­ства про­грам­ма пред­став­ле­на на пяти язы­ках про­грам­ми­ро­ва­ния.

 

 

Бей­сикPython

DIM S, N AS INTEGER

S = 300

N = 100

WHILE S \ N >= 2

    S = S + 5

    N = N + 5

WEND

PRINT S

s = 300

n = 100

while s // n >= 2:

    s = s + 5

    n = n + 5

print(s)

Пас­кальАл­го­рит­ми­че­ский язык

var s, n: integer;

begin

    s := 300;

    n := 100;

    while s div n >= 2 do begin

        s := s + 5;

        n := n + 5

    end;

    writeln(s)

end.

алг

нач

    цел s, n

    s := 300

    n := 100

    нц пока div(s,n) >= 2

        s := s + 5

        n := n + 5

    кц

    вывод s

кон

Си++

#include <iostream>

using namespace std;

int main()

{

    int s = 300, n = 100;

    while (s / n >= 2) {

        s = s + 5;

        n = n + 5;

    }

    cout << s;

    return 0;

}

 


Ответ:

20

За­пи­ши­те число, ко­то­рое будет на­пе­ча­та­но в ре­зуль­та­те вы­пол­не­ния сле­ду­ю­щей про­грам­мы. Для Ва­ше­го удоб­ства про­грам­ма пред­став­ле­на на пяти язы­ках про­грам­ми­ро­ва­ния.

 

 

Бей­сикPython

DIM S, N AS INTEGER

S = 0

N = 76

WHILE S < 71

S = S + 10

N = N − 2

WEND

PRINT N

s = 0

n = 76

while s < 71:

    s = s + 10

    n = n − 2

print(n)

Пас­кальАл­го­рит­ми­че­ский язык

var s, n: integer;

begin

    s := 0;

    n := 76;

    while s < 71 do

    begin

        s := s + 10;

        n := n − 2;

    end;

    writeln(n)

end.

алг

нач

    цел s, n

    s := 0

    n := 76

    нц пока s < 71

        s := s + 10

        n := n − 2

    кц

    вывод n

кон

Си++

#include <iostream>

using namespace std;

int main()

{

    int s = 0, n = 76;

    while (s < 71) {

        s = s + 10;

        n = n − 2;

    }

    cout << n;

    return 0;

}

 


Ответ:

21

За­пи­ши­те число, ко­то­рое будет на­пе­ча­та­но в ре­зуль­та­те вы­пол­не­ния сле­ду­ю­щей про­грам­мы. Для Ва­ше­го удоб­ства про­грам­ма пред­став­ле­на на пяти язы­ках про­грам­ми­ро­ва­ния.

 

 

Бей­сикPython

DIM S, N AS INTEGER

S = 0

N = 1

WHILE S < 100

S = S + 20

N = N * 3

WEND

PRINT N

s = 0

n = 1

while s < 100:

    s = s + 20

    n = n * 3

print(n)

Пас­кальАл­го­рит­ми­че­ский язык

var s, n: integer;

begin

    s := 0;

    n := 1;

    while s < 100 do

    begin

        s := s + 20;

        n := n * 3;

    end;

    writeln(n)

end.

алг

нач

    цел s, n

    s := 0

    n := 1

    нц пока s < 100

        s := s + 20

        n := n * 3

    кц

    вывод n

кон

Си++

#include <iostream>

using namespace std;

int main()

{

    int s = 0, n = 1;

    while (s < 100) {

        s = s + 20;

        n = n * 3;

    }

    cout << n;

    return 0;

}

 


Ответ:

22
Тип Д6 № 18814
i

За­пи­ши­те число, ко­то­рое будет на­пе­ча­та­но в ре­зуль­та­те вы­пол­не­ния сле­ду­ю­щей про­грам­мы. Для Ва­ше­го удоб­ства про­грам­ма пред­став­ле­на на пяти язы­ках про­грам­ми­ро­ва­ния.

 

Бей­сикPython

DIM S, N AS INTEGER

S = 0

N = 1

WHILE S*S <= 125

     S = S + 3

     N = N * 2

WEND

PRINT N

s = 0

n = 1

while s*s <= 125:

    s = s + 3

    n = n * 2

print(n)

Пас­кальАл­го­рит­ми­че­ский язык

var s, n: integer;

begin

s := 0;

n := 1;

while s*s <= 125 do

begin

    s := s + 3;

    n := n * 2

end;

writeln(n)

end.

алг

нач

цел n, s

n := 1

s := 0

нц пока s*s <= 125

    s := s + 3

    n := n * 2

кц

вывод n

кон

Си++

#include <iostream>

using namespace std;

int main()

{  int s = 0, n = 1;

    while (s*s <= 125) { s = s + 3; n = n * 2; }

    cout << n << endl;

    return 0;

}


Ответ:

23
Тип Д6 № 19057
i

За­пи­ши­те число, ко­то­рое будет на­пе­ча­та­но в ре­зуль­та­те вы­пол­не­ния сле­ду­ю­щей про­грам­мы. Для Ва­ше­го удоб­ства про­грам­ма пред­став­ле­на на пяти язы­ках про­грам­ми­ро­ва­ния.

 

Бей­сикPython

DIM S, N AS INTEGER

S = 0

N = 1

WHILE S < 51

    S = S + 11

    N = N * 2

WEND

PRINT N

s = 0

n = 1

while s < 51:

    s = s + 11

    n = n * 2

print(n)

Пас­кальАл­го­рит­ми­че­ский язык

var s, n: integer;

begin

    s := 0;

    n := 1;

    while s < 51 do

    begin

        s := s + 11;

        n := n * 2

    end;

    writeln(n)

end.

алг

нач

    цел n, s

    s := 0

    n := 1

    нц пока s < 51

        s := s + 11

        n := n * 2

    кц

    вывод n

кон

Си++

#include <iostream>

using namespace std;

int main()

{ int s = 0, n = 1;

    while (s < 51) { s = s + 11; n = n * 2; }

    cout << n << endl;

    return 0;

}


Ответ:

24
Тип Д6 № 23906
i

За­пи­ши­те число, ко­то­рое будет на­пе­ча­та­но в ре­зуль­та­те вы­пол­не­ния сле­ду­ю­щей про­грам­мы. Для Ва­ше­го удоб­ства про­грам­ма пред­став­ле­на на пяти язы­ках про­грам­ми­ро­ва­ния.

 

Бей­сикPython

DIM S, N AS INTEGER

S = 175

N = 0

WHILE S + N < 325

    S = S − 10

    N = N + 30

WEND

PRINT S

s = 175

n = 0

while s + n < 325:

    s = s − 10

    n = n + 30

print(s)

Пас­кальАл­го­рит­ми­че­ский язык

var s, n: integer;

begin

    s := 175;

    n := 0;

    while s + n < 325 do

    begin

        s := s − 10;

        n := n + 30

    end;

    writeln(s)

end.

алг

нач

    цел n, s

    s := 175

    n := 0

    нц пока s + n < 325

        s := s − 10

        n := n + 30

    кц

    вывод s

кон

Си++

#include <iostream>

using namespace std;

int main()

{ int s = 175, n = 0;

    while (s + n < 325) { s = s − 10; n = n + 30; }

    cout << s << endl;

    return 0;

}


Ответ:

25
Тип Д6 № 25838
i

За­пи­ши­те число, ко­то­рое будет на­пе­ча­та­но в ре­зуль­та­те вы­пол­не­ния сле­ду­ю­щей про­грам­мы. Для Ва­ше­го удоб­ства про­грам­ма пред­став­ле­на на пяти язы­ках про­грам­ми­ро­ва­ния.

 

Бей­сикPython

DIM S, N AS INTEGER

S = 175

N = 0

WHILE S + N < 325

    S = S − 10

    N = N + 30

WEND

PRINT N

s = 175

n = 0

while s + n < 325:

    s = s − 10

    n = n + 30

print(n)

Пас­кальАл­го­рит­ми­че­ский язык

var s, n: integer;

begin

    s := 175;

    n := 0;

    while s + n < 325 do

    begin

        s := s − 10;

        n := n + 30

    end;

    writeln(n)

end.

алг

нач

    цел n, s

    s := 175

    n := 0

    нц пока s + n < 325

        s := s − 10

        n := n + 30

    кц

    вывод n

кон

Си++

#include <iostream>

using namespace std;

int main()

{ int s = 175, n = 0;

    while (s + n < 325) { s = s − 10; n = n + 30; }

    cout << n << endl;

    return 0;

}

 


Ответ:

26
Тип Д6 № 26951
i

За­пи­ши­те число, ко­то­рое будет на­пе­ча­та­но в ре­зуль­та­те вы­пол­не­ния сле­ду­ю­щей про­грам­мы. Для Ва­ше­го удоб­ства про­грам­ма пред­став­ле­на на пяти язы­ках про­грам­ми­ро­ва­ния.

 

Бей­сикPython

DIM S, N AS INTEGER

S = 190

N = 0

WHILE S – N > 0

    S = S – 5

    N = N + 15

WEND

PRINT S

s = 190

n = 0

while s – n > 0:

    s = s – 5

    n = n + 15

print(s)

Пас­кальАл­го­рит­ми­че­ский язык

var s, n: integer;

begin

    s := 190;

    n := 0;

    while s – n > 0 do

    begin

        s := s – 5;

        n := n + 15

    end;

    writeln(s)

end.

алг

нач

    цел n, s

    s := 190

    n := 0

    нц пока s – n > 0

        s := s – 5

        n := n + 15

    кц

    вывод s

кон

Си++

#include <iostream>

using namespace std;

int main()

{ int s = 190, n = 0;

    while (s – n > 0) { s = s – 5; n = n + 15; }

    cout << s << endl;

    return 0;

}


Ответ:

27
Тип Д6 № 26980
i

За­пи­ши­те число, ко­то­рое будет на­пе­ча­та­но в ре­зуль­та­те вы­пол­не­ния сле­ду­ю­щей про­грам­мы. Для Ва­ше­го удоб­ства про­грам­ма пред­став­ле­на на пяти язы­ках про­грам­ми­ро­ва­ния.

 

Бей­сикPython

DIM S, N AS INTEGER

S = 0

N = 90

WHILE S + N < 145

    S = S + 20

    N = N − 10

WEND

PRINT S

s = 0

n = 90

while s + n < 145:

    s = s + 20

    n = n − 10

print(s)

Пас­кальАл­го­рит­ми­че­ский язык

var s, n: integer;

begin

    s := 0;

    n := 90;

    while s + n < 145 do

    begin

        s := s + 20;

        n := n − 10;

    end;

    writeln(s)

end.

алг

нач

    цел n, s

    s := 0

    n := 90

    нц пока s + n < 145

        s := s + 20

        n := n − 10

    кц

    вывод s

кон

Си++

#include <iostream>

using namespace std;

int main()

{ int s = 0, n = 90;

    while (s + n < 145) { s = s + 20; n = n − 10;}

    cout << s << endl;

    return 0;

}


Ответ:

28
Тип Д6 № 27007
i

За­пи­ши­те число, ко­то­рое будет на­пе­ча­та­но в ре­зуль­та­те вы­пол­не­ния сле­ду­ю­щей про­грам­мы.

 

Бей­сикPython

DIM S, N AS INTEGER

S = 900

N = 30

WHILE S > 2*N

    S = S – 30

    N = N + 20

WEND

PRINT S

s = 900

n = 30

while s > 2*n:

    s = s – 30

    n = n + 20

print(s)

Пас­кальАл­го­рит­ми­че­ский язык

var s, n: integer;

begin

    s := 900;

    n := 30;

    while s > 2*n do

    begin

        s := s – 30;

        n := n + 20

    end;

    writeln(s)

end.

алг

нач

    цел n, s

    s := 900

    n := 30

    нц пока s > 2*n

        s := s – 30

        n := n + 20

    кц

    вывод s

кон

Си++

#include <iostream>

using namespace std;

int main()

{ int s = 900, n = 30;

    while (s > 2*n) { s = s – 30; n = n + 20; }

    cout << s << endl;

    return 0;

}


Ответ:

29
Тип Д6 № 27234
i

За­пи­ши­те число, ко­то­рое будет на­пе­ча­та­но в ре­зуль­та­те вы­пол­не­ния сле­ду­ю­щей про­грам­мы.

 

Бей­сикPython

DIM S, N AS INTEGER

S = 900

N = 30

WHILE S > 3*n

    S = S – 20

    N = N + 30

WEND

PRINT S

s = 900

n = 30

while s > 3*n:

    s = s – 20

    n = n + 30

print(s)

Пас­кальАл­го­рит­ми­че­ский язык

var s, n: integer;

begin

    s := 900;

    n := 30;

    while s > 3*n do

    begin

        s := s – 20;

        n := n + 30

    end;

    writeln(s)

end.

алг

нач

    цел n, s

    s := 900

    n := 30

    нц пока s > 3*n

        s := s – 20

        n := n + 30

    кц

    вывод s

кон

Си++

#include <iostream>

using namespace std;

int main()

{ int s = 900, n = 30;

    while (s > 3*n) { s = s – 20; n = n + 30; }

    cout << s << endl;

    return 0;

}


Ответ:

30
Тип Д6 № 27266
i

За­пи­ши­те число, ко­то­рое будет на­пе­ча­та­но в ре­зуль­та­те вы­пол­не­ния сле­ду­ю­щей про­грам­мы. Для Ва­ше­го удоб­ства про­грам­ма пред­став­ле­на на пяти язы­ках про­грам­ми­ро­ва­ния.

 

Бей­сикPython

DIM S, N AS INTEGER

S = 32

N = 1

WHILE S * N< 1000

S = S \ 2

N = N * 4

WEND

PRINT N

s = 32

n = 1

while s * n < 1000:

    s = s // 2

    n = n * 4

print(n)

Пас­кальАл­го­рит­ми­че­ский язык

var s, n: integer;

begin

    s := 32;

    n := 1;

    while s * n < 1000 do

    begin

        s := s div 2;

        n := n * 4;

    end;

    writeln(n)

end.

алг

нач

    цел s, n

    s := 32

    n := 1

    нц пока s * n < 1000

        s := div(s,2)

        n := n * 4

    кц

    вывод n

кон

Си++

#include <iostream>

using namespace std;

int main()

{

    int s = 32, n = 1;

    while (s * n < 1000) {

        s = s / 2;

        n = n * 4;

    }

    cout << n;

    return 0;

}


Ответ:

31
Тип Д6 № 27293
i

За­пи­ши­те число, ко­то­рое будет на­пе­ча­та­но в ре­зуль­та­те вы­пол­не­ния сле­ду­ю­щей про­грам­мы. Для Ва­ше­го удоб­ства про­грам­ма пред­став­ле­на на пяти язы­ках про­грам­ми­ро­ва­ния.

 

Бей­сикPython

DIM S, N AS INTEGER

S = 64

N = 1

WHILE S * N< 1000

S = S \ 2

N = N * 4

WEND

PRINT S

s = 64

n = 1

while s * n < 1000:

    s = s // 2

    n = n * 4

print(s)

Пас­кальАл­го­рит­ми­че­ский язык

var s, n: integer;

begin

    s := 64;

    n := 1;

    while s * n < 1000 do

    begin

        s := s div 2;

        n := n * 4;

    end;

    writeln(s)

end.

алг

нач

    цел s, n

    s := 64

    n := 1

    нц пока s * n < 1000

        s := div(s,2)

        n := n * 4

    кц

    вывод s

кон

Си++

#include <iostream>

using namespace std;

int main()

{

    int s = 64, n = 1;

    while (s * n < 1000) {

        s = s / 2;

        n = n * 4;

    }

    cout << s;

    return 0;

}


Ответ:

32
Тип Д6 № 27377
i

За­пи­ши­те число, ко­то­рое будет на­пе­ча­та­но в ре­зуль­та­те вы­пол­не­ния сле­ду­ю­щей про­грам­мы. Для Ва­ше­го удоб­ства про­грам­ма пред­став­ле­на на пяти язы­ках про­грам­ми­ро­ва­ния.

 

Бей­сикPython

DIM S, N AS INTEGER

S = 900

N = 30

WHILE S > N

S = S - 30

N = N + 20

WEND

PRINT N

s = 900

n = 30

while s > n:

    s = s - 30

    n = n + 20

print(n)

Пас­кальАл­го­рит­ми­че­ский язык

var s, n: integer;

begin

    s := 900;

    n := 30;

    while s > n do

    begin

        s := s - 30;

        n := n + 20;

    end;

    writeln(n)

end.

алг

нач

    цел s, n

    s := 900

    n := 30

    нц пока s > n

        s := s - 30

        n := n + 20

    кц

    вывод n

кон

Си++

#include <iostream>

using namespace std;

int main()

{

    int s = 900, n = 30;

    while (s > n) {

        s = s - 30;

        n = n + 20;

    }

    cout << n;

    return 0;

}


Ответ:

33
Тип Д6 № 27537
i

За­пи­ши­те число, ко­то­рое будет на­пе­ча­та­но в ре­зуль­та­те вы­пол­не­ния сле­ду­ю­щей про­грам­мы. Для Ва­ше­го удоб­ства про­грам­ма пред­став­ле­на на пяти язы­ках про­грам­ми­ро­ва­ния.

 

Бей­сикPython

DIM S, N AS INTEGER

S = 600

N = 10

WHILE S + 2*N >= 400

S = S − 40

N = N + 10

WEND

PRINT S

s = 600

n = 10

while s + 2*n >= 400:

    s = s − 40

    n = n + 10

print(s)

Пас­кальАл­го­рит­ми­че­ский язык

var s, n: integer;

begin

    s := 600;

    n := 10;

    while s + 2*n >= 400 do

    begin

        s := s − 40;

        n := n + 10;

    end;

    writeln(s)

end.

алг

нач

    цел s, n

    s := 600

    n := 10

    нц пока s + 2*n >= 400

        s := s − 40

        n := n + 10

    кц

    вывод s

кон

Си++

#include <iostream>

using namespace std;

int main()

{

    int s = 600, n = 10;

    while (s + 2*n >= 400) {

        s = s − 40;

        n = n + 10;

    }

    cout << s;

    return 0;

}


Ответ:

34
Тип Д6 № 28544
i

За­пи­ши­те число, ко­то­рое будет на­пе­ча­та­но в ре­зуль­та­те вы­пол­не­ния сле­ду­ю­щей про­грам­мы. Для Ва­ше­го удоб­ства про­грам­ма пред­став­ле­на на пяти язы­ках про­грам­ми­ро­ва­ния.

 

Бей­сикPython

DIM S, N AS INTEGER

S = 900

N = 30

WHILE S > N

S = S - 20

N = N + 30

WEND

PRINT N

s = 900

n = 30

while s > n:

    s = s - 20

    n = n + 30

print(n)

Пас­кальАл­го­рит­ми­че­ский язык

var s, n: integer;

begin

    s := 900;

    n := 30;

    while s > n do

    begin

        s := s - 20;

        n := n + 30;

    end;

    writeln(n)

end.

алг

нач

    цел s, n

    s := 900

    n := 30

    нц пока s > n

        s := s - 20

        n := n + 30

    кц

    вывод n

кон

Си++

#include <iostream>

using namespace std;

int main()

{

    int s = 900, n = 30;

    while (s > n) {

        s = s - 20;

        n = n + 30;

    }

    cout << n;

    return 0;

}


Ответ:

35
Тип Д6 № 28683
i

За­пи­ши­те число, ко­то­рое будет на­пе­ча­та­но в ре­зуль­та­те вы­пол­не­ния сле­ду­ю­щей про­грам­мы. Для Ва­ше­го удоб­ства про­грам­ма пред­став­ле­на на пяти язы­ках про­грам­ми­ро­ва­ния.

 

Бей­сикPython

DIM S, N AS INTEGER

S = 3

N = 1

WHILE S < 80

S = S + 13

N = N * 2

WEND

PRINT N

s = 3

n = 1

while s < 80:

    s = s + 13

    n = n * 2

print(n)

Пас­кальАл­го­рит­ми­че­ский язык

var s, n: integer;

begin

    s := 3;

    n := 1;

    while s < 80 do

    begin

        s := s + 13;

        n := n * 2;

    end;

    writeln(n)

end.

алг

нач

    цел s, n

    s := 3

    n := 1

    нц пока s < 80

        s := s + 13

        n := n * 2

    кц

    вывод n

кон

Си++

#include <iostream>

using namespace std;

int main()

{

    int s = 3, n = 1;

    while (s < 80) {

        s = s + 13;

        n = n * 2;

    }

    cout << n;

    return 0;

}


Ответ:

36
Тип Д6 № 29115
i

За­пи­ши­те число, ко­то­рое будет на­пе­ча­та­но в ре­зуль­та­те вы­пол­не­ния сле­ду­ю­щей про­грам­мы. Для Ва­ше­го удоб­ства про­грам­ма пред­став­ле­на на пяти язы­ках про­грам­ми­ро­ва­ния.

 

Бей­сикPython

DIM S, N AS INTEGER

S = 6

N = 1

WHILE S < 70

S = S + 13

N = N * 2

WEND

PRINT N

s = 6

n = 1

while s < 70:

    s = s + 13

    n = n * 2

print(n)

Пас­кальАл­го­рит­ми­че­ский язык

var s, n: integer;

begin

    s := 6;

    n := 1;

    while s < 70 do

    begin

        s := s + 13;

        n := n * 2;

    end;

    writeln(n)

end.

алг

нач

    цел s, n

    s := 6

    n := 1

    нц пока s < 70

        s := s + 13

        n := n * 2

    кц

    вывод n

кон

Си++

#include <iostream>

using namespace std;

int main()

{

    int s = 6, n = 1;

    while (s < 70) {

        s = s + 13;

        n = n * 2;

    }

    cout << n;

    return 0;

}


Ответ:

37
Тип Д6 № 29193
i

За­пи­ши­те число, ко­то­рое будет на­пе­ча­та­но в ре­зуль­та­те вы­пол­не­ния сле­ду­ю­щей про­грам­мы. Для Ва­ше­го удоб­ства про­грам­ма пред­став­ле­на на пяти язы­ках про­грам­ми­ро­ва­ния.

 

Бей­сикPython

DIM S, N AS INTEGER

S = 600

N = 10

WHILE S + 2*N >= 320

S = S − 50

N = N + 10

WEND

PRINT S

s = 600

n = 10

while s + 2*n >= 320:

    s = s − 50

    n = n + 10

print(s)

Пас­кальАл­го­рит­ми­че­ский язык

var s, n: integer;

begin

    s := 600;

    n := 10;

    while s + 2*n >= 320 do

    begin

        s := s − 50;

        n := n + 10;

    end;

    writeln(s)

end.

алг

нач

    цел s, n

    s := 600

    n := 10

    нц пока s + 2*n >= 320

        s := s − 50

        n := n + 10

    кц

    вывод s

кон

Си++

#include <iostream>

using namespace std;

int main()

{

    int s = 600, n = 10;

    while (s + 2*n >= 320) {

        s = s − 50;

        n = n + 10;

    }

    cout << s;

    return 0;

}


Ответ:
Завершить работу, свериться с ответами, увидеть решения.