Тип Д6 № 2007 
Анализ программ. Условие выполнения цикла while. Часть 2
i
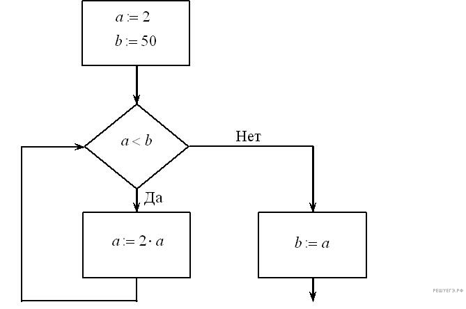
Запишите значение переменной а после выполнения фрагмента алгоритма:

*Примечание: знаком := обозначена операция присваивания. В бланк ответов впишите только число.
Решение.
Это задание ещё не решено, приводим решение прототипа.
Запишите значение переменной а после выполнения фрагмента алгоритма:

*Примечание: знаком := обозначена операция присваивания. В бланк ответов впишите только число.
Переменная a увеличивается до тех пор, пока а не станет больше либо равно b. Найдём на каком шаге цикл прервётся. При первом заходе в цикл переменная a станет равной 2, на втором — 4, третьем — 8, четвёртом — 16, пятом — 32, шестом — 64, седьмом — 128; цикл прервётся. Таким образом, после выполнения фрагмента алгоритма значение a = 128.
Ответ: 128.
Ответ: 64