Тип Д6 № 2003 

Анализ программ. Условие выполнения цикла while. Часть 2
i
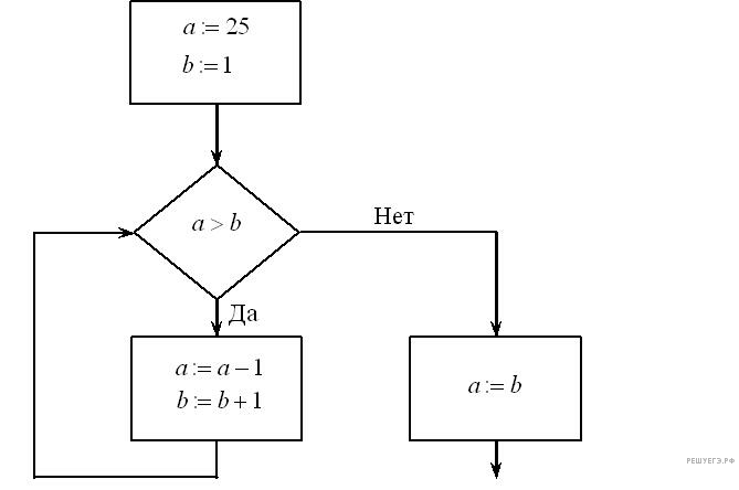
Запишите значение переменной а после выполнения фрагмента алгоритма:

*Примечание: знаком := обозначена операция присваивания. В бланк ответов впишите только число.
Решение. Переменная a уменьшается, а переменная b увеличивается до тех пор, пока b не станет больше либо равно a. Найдём на каком шаге цикл прервётся. Пусть n — число заходов в цикл, тогда переменная a увеличивается по закону a = 101 − 2n, а переменная b по закону b = 2n. Приравняем значения a и b: 2n = 101 − 2n, откуда n =25,25. На 25-ом шаге алгоритма переменная a равна 51, а b — 50, на 26-ом a = 49, b = 52; цикл прервётся. Переменной a будет присвоено значение переменной b. Значит, после выполнения фрагмента алгоритма значение a = 52.
Ответ: 52.
----------
Дублирует задание 2002.
Ответ: 52