В файле содержится информация о совокупности N вычислительных процессов, которые могут выполняться параллельно или последовательно. Будем говорить, что
Информация о процессах представлена в файле в виде таблицы. В первой строке таблицы указан идентификатор процесса (ID), во второй строке таблицы — время его выполнения в миллисекундах, в третьей строке перечислены
Определите минимальное время, через которое завершится выполнение всей совокупности процессов, при условии, что все независимые друг от друга процессы могут выполняться параллельно.
Типовой пример организации данных в файле:
| ID процесса B | Время выполнения процесса B (мс) | ID процесса(ов) A |
|---|---|---|
| 1 | 4 | 0 |
| 2 | 3 | 0 |
| 3 | 1 | 1;2 |
| 4 | 7 | 3 |
В данном случае независимые
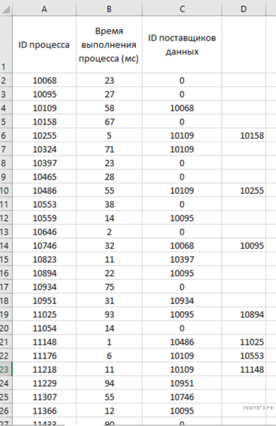
Выполните задания, используя данные из файла ниже:
Расформируем данные в столбце С на разные столбцы. Для этого выберем «Данные — текст» по столбцам, далее выберем с разделителями, далее разделители «Точка с запятой». Получим таблицу:
В ячейку А102 введем
В ячейку Е2 введем формулу:
=ВПР(C2;$A$1:$I$102;7;0)
и скопируем эту формулу во все оставшиеся ячейки диапазона E2:F101.
В ячейку G2 введем формулу:
=МАКС(E2:F2)+B2
и скопируем эту формулу до конца таблицы.
Окончательно воспользовавшись формулой
=МАКС(G2:G101),
получаем ответ — 347.
Ответ: 347.

