Два игрока, Петя и Ваня, играют в следующую игру. Перед игроками лежит куча камней. Игроки ходят по очереди, первый ход делает Петя. За один ход игрок может добавить в кучу один камень или увеличить количество камней в куче в два раза. Например, имея кучу из 15 камней, за один ход можно получить кучу из 16 или 30 камней. У каждого игрока, чтобы делать ходы, есть неограниченное количество камней.
Игра завершается в тот момент, когда количество камней в куче становится не менее 65. Победителем считается игрок, сделавший последний ход, т. е. первым получивший кучу, в которой будет 65 или больше камней. В начальный момент в куче было S камней 1 ≤ S ≤ 64.
Будем говорить, что игрок имеет выигрышную стратегию, если он может выиграть при любых ходах противника. Описать стратегию игрока — значит, описать, какой ход он должен сделать в любой ситуации, которая ему может встретиться при различной игре противника.
Выполните следующие задания. Во всех случаях обосновывайте свой ответ.
Задание 1
а) Укажите все такие значения числа S, при которых Петя может выиграть в один ход, и соответствующие выигрывающие ходы. Если при некотором значении S Петя может выиграть несколькими способами, достаточно указать один выигрывающий ход.
б) Укажите такое значение S, при котором Петя не может выиграть за один ход, но при любом ходе Пети Ваня может выиграть своим первым ходом. Опишите выигрышную стратегию Вани.
Задание 2
Укажите два таких значения S, при которых у Пети есть выигрышная
стратегия, причём одновременно выполнены два условия:
– Петя не может выиграть за один ход;
– Петя может выиграть своим вторым ходом независимо от того, как будет ходить Ваня.
Для каждого указанного значения S опишите выигрышную стратегию Пети.
Задание 3
Укажите значение S, при котором:
– у Вани есть выигрышная стратегия, позволяющая ему выиграть первым или вторым ходом при любой игре Пети;
– у Вани нет стратегии, которая позволит ему гарантированно выиграть первым ходом.
Для указанного значения S опишите выигрышную стратегию Вани.
Постройте дерево всех партий, возможных при этой выигрышной стратегии Вани (в виде рисунка или таблицы). На рёбрах дерева указывайте ходы, в узлах указывайте позиции.
1а) Петя может выиграть, если 64 >= S >= 33. Ему нужно удвоить количество камней.
1б) Искомые позиции те, которые приведут Ваню к выигрышным значениям S >= 33. Это S=32, поскольку при любом ходе Пети S+1=33 или S*2=64 Ваня выиграет.
2. Позиция S=32 проигрышная, значит, если Петя сможет в свой ход привести Ваню в позицию S=32, он выиграет. Это можно сделать из позиций S=31 и S=16. В первом случае мы добавляем 1 камень, а во втором увеличиваем их количество вдвое. Как бы ни походил Вася, для выигрыша Пете достаточно будет увеличить количество камней в 2 раза.
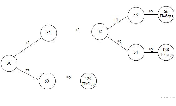
3. S=30. Приведем таблицу и дерево партий.
| Первый ход Пети | Первый ход Вани | Второй ход Пети | Второй ход Вани |
| 30 + 1 = 31 | 31 + 1 = 32 | 32 + 1 = 33 | 33 · 2 = 66 — ПОБЕДА |
| 30 · 2 = 60 | 60 · 2 = 120 — ПОБЕДА | 32 · 2 = 64 | 64 · 2 = 128 — ПОБЕДА |

